2020-08-28
HOME
BROWSE
ARKIVOC
ABOUT
ARKIVOC
SEARCH
ARKIVOC
CONFERENCES
FLOHET/OTHERS
MONTHLY
NEWSLETTER
DONATE
Browse ARKIVOC
Submit Your Paper
Instructions:
Papers, Accounts, Reviews
Templates:
Papers
Accounts, Reviews
Commemorative Issues:
Aims and Procedures
Regional Issues:
Aims and Procedures
We thank OAKWOOD CHEMICAL for their generous support of Arkivoc and the FloHet Conferences

BROWSE ARKIVOC


ARKIVOC Volume 2011
Part (ix): General Papers

Graphical Abstracts PDF (1,124K)
1. Investigation of furo[2,3-h]- and pyridazino[3,4-f]cinnolin-3-ol scaffolds as substrates for the development of novel HIV-1 integrase inhibitors (11-5898GP)
Mohamed F. Y. Gomaa, Nicolino Pala, Marco Derudas, Jehan Abd-Elrazik Hasanen, El-Sayed H. El-Tamany, Paola Casule, Alberto Mariani and Mario Sechi
DOI: https://doi.org/10.3998/ark.5550190.0012.901
Full Text: PDF (343K)
Export Citation: RIS
pp. 1 - 14


received Sep 26 2010; accepted Mar 20 2011; published Apr 19 2011;
2. Expeditious synthesis of helicenes using an improved protocol of photocyclodehydrogenation of stilbenes (11-5753JP)
Harish R. Talele, Anju R. Chaudhary, Parthiv R. Patel and Ashutosh V. Bedekar
DOI: https://doi.org/10.3998/ark.5550190.0012.902
Full Text: PDF (601K)
Export Citation: RIS
pp. 15 - 37


received Aug 17 2010; accepted Feb 12 2011; published Apr 19 2011;
3. Pyrylium salts with 2-(azulen-1-yl) vinyl substituents in 2-, 4- and/or 6-positions (11-6255HP)
Alexandru C. Razus, Liliana Cristian, Simona Nica, Oana Zaharia and Anamaria Hanganu
DOI: https://doi.org/10.3998/ark.5550190.0012.903
Full Text: PDF (340K)
Export Citation: RIS
pp. 38 - 50


received Jan 11 2011; accepted Mar 3 2011; published Apr 19 2011;
4. Optimized synthesis and detailed NMR spectroscopic characterization of the 1,8a-dihydroazulene-1,1-dicarbonitrile photoswitch (11-6034DP)
Søren Lindbæk Broman, Sophie Lehn Brand, Christian Richard Parker, Michael Åxman Petersen, Christian Gregers Tortzen, Anders Kadziola, Kristine Kilså and Mogens Brøndsted Nielsen
DOI: https://doi.org/10.3998/ark.5550190.0012.904
Full Text: PDF (1,068K)
Export Citation: RIS
pp. 51 - 67


received Nov 5 2010; accepted Feb 7 2011; published Apr 19 2011;
5. Synthesis of the naturally occurring prenylated coumarins balsamiferone and cedrelopsin by domino reactions (11-5939OP)
Rupesh E. Patre, Perunninakulath S. Parameswaran and Santosh G. Tilve
DOI: https://doi.org/10.3998/ark.5550190.0012.905
Full Text: PDF (252K)
Export Citation: RIS
pp. 68 - 76


received Oct 9 2010; accepted Feb 12 2011; published Apr 19 2011;
6. Synthesis of new enantiopure dimethyl- and diisobutyl -substituted pyridino-18-crown-6 ethers containing a halogen atom or a methoxy group at position 4 of the pyridine ring for enantiomeric recognition studies (11-6200JP)
József Kupai, Péter Huszthy, Kata Székely, Tünde Tóth and László Párkányi
DOI: https://doi.org/10.3998/ark.5550190.0012.906
Full Text: PDF (933K)
Export Citation: RIS
pp. 77 - 93


received Dec 22 2010; accepted Apr 8 2011; published Apr 24 2011;
7. Facile synthesis of biologically important indole based quinoxalines (11-6111OP)
Sukanta Kamila, Haribabu Ankati and Edward R. Biehl
DOI: https://doi.org/10.3998/ark.5550190.0012.907
Full Text: PDF (378K)
Export Citation: RIS
pp. 94 - 104


received Nov 29 2010; accepted Mar 28 2011; published Apr 27 2011;
8. Study of the reactivity of squarylferrocenes. Addition of amines and aminoesters (11-6029MP)
Fabian Villanueva-Garcia, Priscilla Reyes, Keith H. Pannell, Alejandro Alvarez-Hernandez, Ismael Valois, Juan M. Juarez-Ruiz, Juan O. Flores-Rizo and Eduardo Pena-Cabrera
DOI: https://doi.org/10.3998/ark.5550190.0012.908
Full Text: PDF (798K)
Export Citation: RIS
pp. 105 - 124


received Nov 3 2010; accepted Feb 28 2011; published Apr 30 2011;
9. High-throughput preparation of alkyl 4-aryl substituted-2-methyl-6-thioxo-1,4,5,6-tetrahydropyridine-3-carboxylates under microwave irradiation (11-5533OP)
Hortensia Rodríguez, Julieta Coro, Anabel Lam, Esperanza Salfrán, Javier Rodríguez-Salarichs, Margarita Suárez, Fernando Albericio and Nazario Martin
DOI: https://doi.org/10.3998/ark.5550190.0012.909
Full Text: PDF (654K)
Supplementary Material: PDF (273K)
Export Citation: RIS
pp. 125 - 141


received Jun 20 2010; accepted Mar 21 2011; published May 8 2011;
10. Tartaric acid and its O-acyl derivatives. Part 8. Direct synthesis of novel N-substituted mono- and diacyltartrimides: unusual reaction course (11-6316DP)
Paweł Ruśkowski, Ludwik Synoradzki and Marek Włostowski
DOI: https://doi.org/10.3998/ark.5550190.0012.910
Full Text: PDF (446K)
Export Citation: RIS
pp. 142 - 154


received Feb 4 2011; accepted Apr 6 2011; published May 9 2011;
11. A facile approach to 2,2′-bipyridine based thiacrown ethers and their sulfoxides by DA-rDA reaction of 5,5′-bi-1,2,4-triazine thiamacrocycles. The conformation studies (11-5685MP)
Justyna Ławecka, Zbigniew Karczmarzyk, Ewa Olender, Ewa Wolińska and Danuta Branowska and Andrzej Rykowski
DOI: https://doi.org/10.3998/ark.5550190.0012.911
Full Text: PDF (465K)
Export Citation: RIS
pp. 155 - 164


received Jul 28 2010; accepted Mar 21 2011; published May 8 2011;
12. N-Benzoyl-N-methylsulfonyl anthranilates: unexpected cyclization reaction to 4-alkoxy-2,1-benzothiazines (11-5652GP)
Giuseppe Manfroni, Francesco Meschini, Ferdinando Costantino, Oriana Tabarrini and Violetta Cecchetti
DOI: https://doi.org/10.3998/ark.5550190.0012.912
Full Text: PDF (511K)
Export Citation: RIS
pp. 165 - 176


received Jul 21 2010; accepted Apr 7 2011; published May 8 2011;
13. Conventional and microwave assisted synthesis of 1,4-disubstituted 1,2,3-triazoles from Huisgen cycloaddition (11-5346OP)
Juan Ignacio Sarmiento-Sanchez, Adrian Ochoa-Teran and Ignacio A. Rivero,
DOI: https://doi.org/10.3998/ark.5550190.0012.913
Full Text: PDF (355K)
Export Citation: RIS
pp. 177 - 188


received Apr 27 2010; accepted Mar 21 2011; published May 22 2011;
14. Bidentate Schiff bases derived from (S)-α-methylbenzylamine as chiral ligands in the electronically controlled asymmetric addition of diethylzinc to aldehydes (11-6336VP)
Magdalena Jaworska, Mirosław Wełniak, Justyna Zięciak, Anna Kozakiewicz and Andrzej Wojtczak
DOI: https://doi.org/10.3998/ark.5550190.0012.914
Full Text: PDF (565K)
Export Citation: RIS
pp. 189 - 204


received Feb 10 2011; accepted Apr 6 2011; published May 29 2011;
15. Effects of solvent, excitation wavelength, and concentration on the photobehavior of some diazonaphthoquinones (11-6292QP)
Marco Cipolloni, Pier L. Gentili, Fausto Ortica, Ralph S. Becker,and Gianna Favaro
DOI: https://doi.org/10.3998/ark.5550190.0012.915
Full Text: PDF (1,369K)
Export Citation: RIS
pp. 205 - 220


received Jan 26 2011; accepted Apr 22 2011; published May 30 2011;
16. A convergent microwave assisted synthesis of 4-amino-N-(4-oxo-2-substituted-4H-quinazolin-3-yl)benzenesulfonamide derivatives (11-5762OP)
Chandresh L. Jagani, Natvar A. Sojitra, Satish F. Vanparia, Tarosh S. Patel, Ritu B. Dixit and Bharat C. Dixit
DOI: https://doi.org/10.3998/ark.5550190.0012.916
Full Text: PDF (511K)
Supplementary Material: PDF (1,343K)
Export Citation: RIS
pp. 221 - 237


received Aug 19 2010; accepted Apr 6 2011; published May 31 2011;
17. Oxidative arylamination of 1,3-dinitrobenzene and 3-nitropyridine under anaerobic conditions: the dual role of the nitroarenes (11-6324VP)
Anna V. Gulevskaya, Inna N. Tyaglivaya, Stefan Verbeeck, Bert U. W. Maes and Anna V. Tkachuk
DOI: https://doi.org/10.3998/ark.5550190.0012.917
Full Text: PDF (592K)
Supplementary Material: PDF (1,427K)
Export Citation: RIS
pp. 238 - 251


received Feb 7 2011; accepted Mar 21 2011; published May 31 2011;
18. Synthesis of acridan-fused quinoxalines (11-6043DP)
Mahlegha Shamsi, Mehdi M. Baradarani, Arash Afghan and John A. Joule
DOI: https://doi.org/10.3998/ark.5550190.0012.918
Full Text: PDF (417K)
Export Citation: RIS
pp. 252 - 260


received Nov 8 2010; accepted Apr 7 2011; published May 31 2011;
19. Synthesis of novel urethanes from a castor oil derived C22-acyloin (11-6348NP)
Marijke Van der Steen, Maris Vilums and Christian V. Stevens
DOI: https://doi.org/10.3998/ark.5550190.0012.919
Full Text: PDF (389K)
Export Citation: RIS
pp. 261 - 271


received Feb 16 2011; accepted May 5 2011; published Jun 1 2011;
20. Synthesis of novel twisted heterocyclic analogues of s-indacenes (11-6342UP)
Krzysztof Stanisław Danel, Tomasz Uchacz and Marcin Karelus
DOI: https://doi.org/10.3998/ark.5550190.0012.920
Full Text: PDF (360K)
Export Citation: RIS
pp. 272 - 280


received Feb 14 2011; accepted Mar 21 2011; published Jun 1 2011;
21. Chemo- and regioselective modification of D,L-phenylalanine with α-cyanoacetylenic alcohols in water (11-6290UP)
Anastasiya G. Mal’kina, Angela P. Borisova, Valentina V. Nosyreva, Olesya A. Shemyakina, Alexander I. Albanov and Boris A. Trofimov
DOI: https://doi.org/10.3998/ark.5550190.0012.921
Full Text: PDF (410K)
Export Citation: RIS
pp. 281 - 288


received Jan 25 2011; accepted Mar 30 2011; published Jun 1 2011;
22. Synthesis of linear dibenzo[1,8]naphthyridines using 2-chloro-4-methylquinolines (11-6183HP)
Manickam Manoj and Karnam Jayaramapillai Rajendra Prasad
DOI: https://doi.org/10.3998/ark.5550190.0012.922
Full Text: PDF (1,283K)
Export Citation: RIS
pp. 289 - 307


received Dec 15 2010; accepted Apr 8 2011; published Jun 6 2011;
23. Total synthesis of structures proposed for quinocitrinines A and B and their analogs. Microwave energy as efficient tool for generating heterocycles (11-6361NP)
Victoria Machtey, Hugo E. Gottlieb and Gerardo Byk
DOI: https://doi.org/10.3998/ark.5550190.0012.923
Full Text: PDF (985K)
Supplementary Material: PDF (3,322K)
Export Citation: RIS
pp. 308 - 324


received Feb 20 2011; accepted Apr 8 2011; published Jun 10 2011;
24. Investigation of tartaric acid amide formation by thermolysis of tartaric acids with alkylamines (11-6480DP)
Susana V. Gonzalez and Per Carlsen
DOI: https://doi.org/10.3998/ark.5550190.0012.924
Full Text: PDF (754K)
Export Citation: RIS
pp. 325 - 336


received Mar 31 2011; accepted May 27 2011; published Jun 25 2011;
25. Synthesis and antifungal activity of some 2-benzothiazolylthioacetyl amino acid and peptide derivatives (11-6060HP)
A. Aboelmagd, Ibrahim A. I. Ali, Ezzeldin M. S. Salem and M. Abdel-Razik
DOI: https://doi.org/10.3998/ark.5550190.0012.925
Full Text: PDF (950K)
Export Citation: RIS
pp. 337 - 353


received Nov 11 2010; accepted Apr 6 2011; published Jun 26 2011;
26. Addition reaction of benzylbenzylidenenamine to lithium enolates of 1,3-dioxolan-4-one: synthesis of 2-phenylisoserines (11-6151GP)
Lizbeth Juárez-Guerra, Susana Rojas-Lima and Heraclio López-Ruiz
DOI: https://doi.org/10.3998/ark.5550190.0012.926
Full Text: PDF (687K)
Export Citation: RIS
pp. 354 - 366


received Dec 7 2010; accepted May 29 2011; published Jun 26 2011;
27. Novel bifunctional chiral squaramide-amine catalysts for highly enantioselective addition of mono and diketones to nitroalkenes (11-6395UP)
Ze Dong, Xiaoqing Jin, Pengcheng Wang, Chang Min, Jin Zhang, Zhe Chen, Hai-Bing Zhou and Chune Dong
DOI: https://doi.org/10.3998/ark.5550190.0012.927
Full Text: PDF (736K)
Supplementary Material: PDF (2,200K)
Export Citation: RIS
pp. 367 - 380


received Mar 2 2011; accepted May 29 2011; published Jun 26 2011;
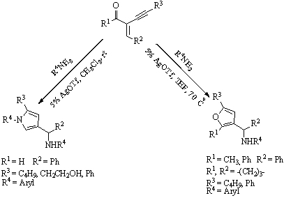
28. AgOTf-catalyzed cyclization of enynals or enynones with amines: an efficient synthesis of 1,2,4-trisubstituted pyrroles and 2,3,5-trisubstituted furans (11-6410DP)
Wan-Li Chen, Jiao Li, Ying-Hong Zhu, Lu-Ting Ye, Wei Hu and Wei-Min Mo
DOI: https://doi.org/10.3998/ark.5550190.0012.928
Full Text: PDF (615K)
Export Citation: RIS
pp. 381 - 392


received Mar 9 2011; accepted Jun 14 2011; published Jun 28 2011;
29. N-Methylthiomethylation of benzimidazoles with DMSO and their chemoselective oxidation to sulfoxides with NaBiO3 (11-6270AP)
Chhanda Mukhopadhyay, Pradip Kumar Tapaswi, Swarbhanu Sarkar and Michael G. B. Drew
DOI: https://doi.org/10.3998/ark.5550190.0012.929
Full Text: PDF (632K)
Supplementary Material: PDF (559K)
Export Citation: RIS
pp. 393 - 406


received Jan 19 2011; accepted May 5 2011; published Jul 3 2011;
30. Organocatalytic enantioselective Michael addition of β-diketones to β-nitrostyrene: the first Michael addition of dipivaloylmethane to an activated olefin. (11-6522VP)
Declan P. Gavin and John C. Stephens
DOI: https://doi.org/10.3998/ark.5550190.0012.930
Full Text: PDF (546K)
Supplementary Material: PDF (1,822K)
Export Citation: RIS
pp. 407 - 421


received Apr 15 2011; accepted May 27 2011; published Jul 3 2011;
31. Chemoselective reduction of unsaturated γ- and δ-lactones by sodium borohydride in the presence of triethylamine in THF (11-6347YP)
Morteza Bidar, Gayane Tokmajyan, Farough Nasiri and Aida Avetisyan
DOI: https://doi.org/10.3998/ark.5550190.0012.931
Full Text: PDF (342K)
Export Citation: RIS
pp. 422 - 428


received Feb 15 2011; accepted Jul 12 2011; published Aug 1 2011;
32. Synthesis and bioactivity of some 2-oxo-5-aryl-3-hydrazone and 2-oxo-5-aryl-4-hydrazone pyrrolidine derivatives (11-6499JP)
Mohd Fazli Mohammat, Nigar Najim, Nurul Shulehaf Mansor, Sharil Sarman, Zurina Shaameri, Mazatulikhma Mat Zain and Ahmad Sazali Hamzah
DOI: https://doi.org/10.3998/ark.5550190.0012.932
Full Text: PDF (334K)
Export Citation: RIS
pp. 429 - 438


received Apr 7 2011; accepted Aug 19 2011; published Sep 21 2011;


CLOCKSS system has permission to ingest, preserve, and serve this Archival Unit
LOCKSS system has permission to collect, preserve, and serve this Archival Unit

Let's Encrypt Trusted Site Seal