2020-08-28
HOME
BROWSE
ARKIVOC
ABOUT
ARKIVOC
SEARCH
ARKIVOC
CONFERENCES
FLOHET/OTHERS
MONTHLY
NEWSLETTER
DONATE
View Newsletters
Subscribe
Unsubscribe

MONTHLY NEWSLETTER

Please allow the graphical abstracts time to load.

Select Newsletter:

January 2025
Sent free to the Editorial Board of Referees and any other interested chemists who request it
To be added to or deleted from our circulation list, please use following links: Subscribe / Unsubscribe.
ARKIVOC is an international journal of organic chemistry completely free electronically world wide.
No downloading fees to readers and no page or other charges to authors.

Arkat USA, Inc. is a non profit foundation existing to help chemists throughout the world with special emphasis on international cooperation and developing countries.
We are grateful to OAKWOOD CHEMICAL for their generous support of Arkivoc and the FloHet Conferences - The Arkivoc Team
Recent Arkivoc Publications
Arkivoc 2024 Part (i): A Commemorative Issue in Honor of Prof. Alan R. Katritzkyand Prof. Charles Rees
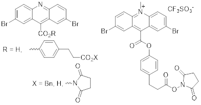
Synthesis of several 2,7-dibromoacridine derivatives, including 4-[2-(succinimidyloxycarbonyl)ethyl]phenyl 2,7-dibromo-10-methylacridinium-9-carboxylate trifluoromethanesulfonate (KR-12307SP) [Arkivoc 2024 (1) 202412307]
Keith Smith and Gamal A. El-Hiti
Full Text: PDF (475K)
Supplementary Material: PDF (2,605K)
Enantioselective synthesis of a new styryl lactone 9 deoxygoniopypyrone derivative and its antiproliferative activity (KR-12297SP) [Arkivoc 2024 (1) 202412297]
Tomasa Rodríguez Tzompantzi, Gilberto Cabrera Loza, Sylvain Bernès and Rosa Luisa Meza-León
Full Text: PDF (650K)
Supplementary Material: PDF (1,371K)
Arkivoc 2024 Part (vi): Special Issue 'Reviews and Accounts'
Diazadiborinines and related compounds: a review (24-12303LR) [Arkivoc 2024 (6) 202412303]
José Elguero and Ibon Alkorta
Full Text: PDF (2,168K)
Recent advances in the reactions of pyrrolo[2,3-d]pyrimidine (24-12313LR) [Arkivoc 2024 (6) 202412313]
Abdel-Rahman Ali Hassan Farghaly, Nasser Amri and Ibrahim Radini
Full Text: PDF (2,866K)
Arkivoc 2024 Part (vii): Special Issue 'Synthetic and structural organic chemistry'
Green asymmetric synthesis of binol via oxidative cross-coupling in the presence of L-cysteine@Fe3O4 nanoparticles (24-12286IP) [Arkivoc 2024 (7) 202412286]
Akram Ashouri, Behzad Nasiri, Somayeh Pourian, Hazhir Moghaddami Fard, Omid Mohammadi, Arezu Moradi
Full Text: PDF (636K)
Supplementary Material: PDF (1,054K)
Arkivoc 2024 Part (viii): Special Issue 'Heterocyclic Chemistry. Part 2'
Efficient microwave synthesis and anti-cancer evaluation of new substituted 2,4-diazaspiro[5.5]undecane-1,5,9-trione (or 1,3,5,9-tetraone) derivatives (HE-12321UP) [Arkivoc 2024 (8) 202412321]
Emine Vildan Burgaz, Mehtap Yakut and İmge Kunter
Full Text: PDF (531K)
Supplementary Material: PDF (2,180K)
Multi-component reactions for the synthesis of current spiro-quinoxaline pyrrolizidine carboxylates via [3+2] cycloaddition reactions (HE-12282UP) [Arkivoc 2024 (8) 202412282]
Sundar S. Shinde, Dipak B. Deokar, Soumi Laha, S. Uday Bhaskar, B. Sridhar and Pravin R. Likhar
Full Text: PDF (850K)
Supplementary Material: PDF (2,471K)
Synthesis, cytotoxicity and molecular docking study of novel acid amine coupling derivatives (HE-12315UP) [Arkivoc 2024 (8) 202412315]
Manisha Mummadi, Rambabu Bhukya and J. Ramchander
Full Text: PDF (911K)
Supplementary Material: PDF (2,518K)
Design and synthesis of novel thiazole–benzimidazole hybrids as antimicrobial agents (HE-12324UP) [Arkivoc 2024 (8) 202412324]
Sateesh Kuna, Kotaiah Kandula, Nagaraju Myakala, Vishnu Thumma and A. K. D. Bhavani
Full Text: PDF (502K)
Supplementary Material: PDF (1,715K)
Synthesis, antimicrobial screening and computational study of some 3,5-diamino-4-(2'-nitrophenylazo)-1-aryl/heteroarylpyrazoles (HE-12327UP) [Arkivoc 2024 (8) 202412327]
Virender Kumar, Anshul Bansal, Ranjana Aggarwal, Mahavir Parshad, Naman Jain, Pooja Sethi and Divya Mittal
Full Text: PDF (747K)
Supplementary Material: PDF (1,445K)
Trisodium citrate dihydrate catalyzed synthesis of fully and diversely functionalized novel piperidinone derivatives (HE-12298UP) [Arkivoc 2024 (8) 202412298]
Bubun Banerjee, Manmeet Kaur, Arvind Singh, Anu Priya and Aditi Sharma
Full Text: PDF (1,030K)
Supplementary Material: PDF (2,809K)
Individual Issues of Arkivoc
The following issues were completed during December 2024:

2024 Part (ii): Commemorative Issue in Honor of Dr. Samir Z. Zard on the occasion of his outstanding contribution to synthetic organic chemistry
(Facilitator: Yvan Six; Scientific Editor: Jacques Royer)
(Issue completed with 28 papers)

2024 Part (iii): Commemorative Issue in Honor of Graham Hutchings on the occasion of his contribution to catalysis
(Facilitators: Stuart H. Taylor and Christopher J Kiely; Scientific Editor: Willem Arjen Lodewijk van Otterlo)
(Issue completed with 11 papers)

2024 Part (v): Commemorative Issue in Honor of Prof. Leon Ghosez on the occasion of his scientific contribution to organic chemistry
(Facilitator: Janine Cossy; Scientific Editor: Alan Cutler)
(Issue completed with 12 papers)

2024 Part (vii): Special Issue 'Synthetic and structural organic chemistry'
(Issue completed with 15 papers)

2024 Part (viii): Special Issue 'Heterocyclic Chemistry. Part 2'
(Issue completed with 31 papers)

No issues were closed during December 2024.
No new issues were initiated during December 2024.
Arkivoc News


Arkivoc 2025 is open for submission of manuscripts www.arkat-usa.org. Arkivoc publishes review articles and full papers (not accounts) describing sound original work that is of interest to organic chemists. With respect to medicinal chemistry submissions, the manuscript’s principal focus should be the synthetic chemistry conducted.

Arkivoc 2025 Contents:

Part (i): Reviews and Accounts
Scientific Editors: Viktor V. Zhdankin and Till Opatz Review authors are advised first to submit a short outline of their proposed work to Dr. Viktor Zhdankin vzhdanki@d.umn.edu

Part (ii): Issue in Honor of Dr. Rajender S. Varma on the occasion of his remarkable career at the United States Environmental Protection Agency
Facilitator: Erik Van der Eycken
Scientific Editor: Ramaiah Muthyala

Part (iii): Issue in Honor of Professor Hans-Günther (Hagga) Schmalz on the occasion of his retirement, his contribution to organometallic-mediated organic synthesis and his positive impact on the chemists of developing nations
Facilitators: Willem van Otterlo and Charles B. de Koning
Scientific Editor: Till Opatz

Part (iv): Thematic Issue 'Hypervalent Iodine Chemistry, Part 4'
Facilitators: Ravi Kumar and Viktor V. Zhdankin
Scientific Editor: Thomas Kurz

Part (v): Research Papers This issue is comprised of sound original work that is of interest to organic chemists including topics in Heterocyclic, Synthetic, Medicinal, and Physical Organic Chemistry, broadly defined.

To Announce and Advertise in the Arkivoc Newsletter or on the Website


For details of opportunities to advertise in this newsletter or on www.arkat-usa.org, please contact Eric Scriven - efvs1@aol.com

New Members
of the Arkivoc Editorial Board of Referees
Dr. Subir Goswami
United States
email
Let's Encrypt Trusted Site Seal