|
|
|
MONTHLY NEWSLETTER
Please allow the graphical abstracts time to load.
|
|
|
February 28, 2010
|
Sent free to the Editorial Board of Referees and any other interested chemists who request it
To be added to or deleted from our circulation list, please use following links: Subscribe / Unsubscribe.
|
|
|
ARKIVOC is an international journal of organic chemistry completely free electronically world wide. No downloading fees to readers and no page or other charges to authors.
Arkat USA, Inc. is a non profit foundation existing to help chemists throughout the world with special emphasis on international cooperation and developing countries.
|
|
|
|
|
We are grateful to OAKWOOD CHEMICAL for their generous support of Arkivoc and the FloHet Conferences - The Arkivoc Team
|
|
|
|
Recent Arkivoc Publications
|
|
|
|
Arkivoc 2009 Part (xiii):
General Papers
|
Synthesis and properties of fluorescent 1,3-substituted mono and biindolizines (09-4716UP)
[pp. 287-299]
Ramona Danac, Alexandru Rotaru, Ioan Druta and Ecaterina Avram
Full Text: PDF (277K)
|
17-Picolinylidene-androst-5-ene derivatives and their antiaromatase and cytotoxic activity (09-4519NP)
[pp. 311-323]
Jovana J. Ajduković, Evgenija A. Djurendić, Marija N. Sakač, Janoš J. Čanadi, Vesna V. Kojić, Gordana M. Bogdanović and Katarina M. Penov Gaši
Full Text: PDF (303K)
|
Heck and Suzuki cross-couplings of aryl and heteroaryl bromides in water using a new palladium(II)-complex (09-4741VP)
[pp. 324-341]
Kamal M. Dawood, Mohamed S. Fayed and Mohamed M. Elkhalea
Full Text: PDF (346K)
|
Wurster aza-crown ethers with N-para-phenylene-phenothiazine or -phenoxazine groups (09-4587QP)
[pp. 342-362]
Alexandru T. Balaban, Ana Cristina Radutiu, Ion Baciu, Miron T. Caproiu, Constantin Draghici, Adrian Beteringhe, Gabriela Ionita, Petre Ionita, Tanta Spataru, Nicolae Spataru, Rodica D. Baratoiu and Titus Constantinescu
Full Text: PDF (444K)
|
Synthesis and in vitro antimicrobial evaluation of 4H-pyrazolopyran, -benzopyran and naphthopyran derivatives of 1H-pyrazole (09-4704EP)
[pp. 363-380]
Nilesh J. Thumar and Manish P. Patel
Full Text: PDF (335K)
|
|
|
|
Arkivoc 2009 Part (xiv):
General Papers
|
Synthesis and reactions of 8-allylchromone-3-carboxaldehyde (09-4603CP)
[pp. 28-38]
Salah S. Ibrahim, Hassan A. Allimony, Ali M. Abdel-Halim and Magdy A. Ibrahim
Full Text: PDF (246K)
|
Synthesis of chiral tetrahydrofuran derivatives (09-4607JP)
[pp. 39-52]
Margus Lopp, Allan Niidu, Anne Paju, Aleksander Mati Müürisepp, Tiiu Kailas and Tõnis Pehk
Full Text: PDF (307K)
|
Synthesis, structure and antimicrobial evaluation of new derivatives of theophylline sugar hydrazones (09-4709UP)
[pp. 53-63]
Mosselhi Abdelnabi Mosselhi, Magda Ahmed Abdallah, Nadia Hanavy Metwally, Ibrahim Adel El-Desoky and Laila Mohamed Break
Full Text: PDF (232K)
|
An efficient one-pot synthesis and in vitro antimicrobial activity of new pyridine derivatives bearing the tetrazoloquinoline nucleus (09-4700EP)
[pp. 64-74]
Divyesh C. Mungra, Manish P. Patel and Ranjan G. Patel
Full Text: PDF (236K)
|
First and short syntheses of biologically active, naturally occurring brominated mono- and dibenzyl phenols (09-4654CP)
[pp. 75-87]
Abdullah Menzek, Halis Türker Balaydın, Yusuf Akbaba, Ertan Şahin and Süleyman Göksu
Full Text: PDF (444K)
|
Synthesis, reactions and antitumor activity of new β-aminovinyl 3-pyrazolyl ketones (09-4835VP)
[pp. 88-99]
Ahmad Sami Shawali, Thoraya A. Farghaly and Ahmad R. Al-Dahshoury
Full Text: PDF (277K)
|
Isolation and structure identification of new cytokinins from Gleditsia caspia (09-4751HP)
[pp. 109-117]
Usama Yoseef Shaheen, Mohammad Hosny Hussain, Ehab Abd Alwahab Ragab and Abd El-Salam Ibrahim Mohammed
Full Text: PDF (254K)
|
A new, mild and high yielding protocol for the preparation of nitriles from aldehydes using iodosobenzene diacetate in aqueous ammonia (09-4162LP)
[pp. 118-123]
Seema Bag, Nilesh R. Tawari and Mariam S. Degani
Full Text: PDF (159K)
|
Thiourea derivatives of Tröger’s base: synthesis, enantioseparation and evaluation in organocatalysis of Michael addition to nitroolefins (09-4753DP)
[pp. 124-134]
Sergey Sergeyev and Delphine Didier
Full Text: PDF (310K)
|
Based catalyzed phenylselenoetherification of 6-methyl- hept-5-en-2-ol (09-4852UP)
[pp. 135-145]
Zorica M Bugarcic, Marina D. Rvovic and Vera M. Divac
Full Text: PDF (281K)
|
Acid-catalyzed intramolecular oxa-Michael addition reactions under solvent-free and microwave irradiation conditions (09-4524HP)
[pp. 146-155]
Yi-Ming Hong, Zhen-Lu Shen, Xin-Quan Hu, Wei-Min Mo, Xiao-Fei He, Bao-Xiang Hu and Nan Sun
Full Text: PDF (253K)
|
Synthesis of BF2 complex of 3-methylthio enaminones (09-4801KP)
[pp. 156-170]
Ti Zhang, Yue-Mei Jia, Sheng-Jiao Yan, Chu-Yi Yu and Zhi-Tang Huang
Full Text: PDF (301K)
|
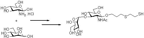
Synthesis of a mannose-capped disaccharide with a thiol terminus (09-4768JP)
[pp. 171-180]
Chao Wang, Yuan-lin Zhou, Wen-bin Yang, Xiao-ping Hu and David C Baker
Full Text: PDF (277K)
|
Microwave-assisted Clauson-Kaas synthesis of pyrroles (09-4732GP)
[pp. 181-190]
Daniel M. Ketcha, Kelsey C. Miles, Sunshine M. Mays, Benjamin K. Southerland and Tyler J. Auvil
Full Text: PDF (241K)
|
|
|
|
Arkivoc 2010 Part (i):
Special Issue 'Reviews and Accounts'
|
Synthesis of substituted phthalocyanines (10-4745LR)
[pp. 136-208]
Victor N. Nemykin and Evgeny A. Lukyanets
Full Text: PDF (925K)
|
|
|
|
Arkivoc 2010 Part (viii):
A Commemorative Issue in Honor of Dr. Bruce E. Maryanoff
|
A Tribute to Dr. Bruce E. Maryanoff (BM-1445HT)
[pp. 1-5]
Full Text: PDF (682K)
|
A Tribute to Dr. Cynthia A. Maryanoff (BM-1444HT)
[pp. 6-9]
Full Text: PDF (243K)
|
Chemoselectivity in dirhodium(II) catalyzed reactions of diazoacetoacetates prepared from α,β-unsaturated ketones (BM-4754HP)
[pp. 10-16]
Michael P Doyle and Yu Zhang
Full Text: PDF (525K)
|
Asymmetric synthesis of N-tosyl amino acids from N-sulfinyl α-amino-1,3-dithioketals (BM-5045HP)
[pp. 17-26]
Franklin A. Davis, Tokala Ramachandar, Jing Chai and Hiu Qiu
Full Text: PDF (540K)
|
|
|
|
Arkivoc manuscript activity / Traffic at arkat-usa.org
|
|
MS in Hand Feb 1st, 2010: 225. Received 103; Published 22; Rejected 59. In Hand End of Feb 247;
Manuscripts in Hand Jan 1st, 2010: 209; Received 215; Published 38; Rejected 139.
Access hits, February: 536,631 from 80,726 visitors;
2010 to date: 1,165,585 from 155,899 visitors.
|
|
|
|
|
|
|
Individual Issues of Arkivoc
|
|
No issues were completed during February 2010.
|
The following issues were closed during February 2010:
2009 Part (xiv): General Papers 2010 Part (v): Commemorative Issue in Honor of Prof. Antonio Rocha-Gonsalves on the occasion of his 70th anniversary (Facilitator: Teresa M. V. D. Pinho e Melo; Scientific Editor: John Arthur Joule) |
|
No new issues were initiated during February 2010.
|
|
|
|
|
Flohet 11 to take place at University of Florida Gainesville March 7-10, 2010. Registration is now open.
|
|
11th Florida Heterocyclic and Synthetic Conference March 7-10 2010, University of Florida, Gainesville.
Plenary lecturers:
Ramon Bacardit (Henkel AG), "Chemistry & Bonding – Meeting the Challenges of the Future"
Ronald Breslow (Columbia University), "Heterocyclic Coenzyme Analogs in Artificial Enzyme Systems"
Michael Collins (CEM, Corporation), "The Microwave Revolution: Recent Advances in Applications and Fundamentals"
Berndt Giese (University of Basel), "Electron Relay Race in Peptides – The Influence of Heterocyclic Amino Acids"
Richard Houghten (Torrey Pines Institute for Molecular Studies), "High through-put In Vivo Screening of Heterocyclic Compounds"
Henri Kagan (University of Paris), "Nonlinear effects in asymmetric catalysis"
Oleg Kulinkovitch (Belarussian State University), "Stereoselective synthesis with dicarbanionic reagents"
William Murray (Johnson & Johnson), "C-OH Bond Activation of Tautomerizable Heterocycles in Palladium Catalyzed Coupling Reactions"
William Roush (The Scripps Research Institute), "Recent Studies in the Synthesis of Natural Products and Proof-of-Concept Chemical Probes"
Amos Smith, III (University of Pensylvania), "Advances in Architecturally Complex Natural and Unnatural Products Synthesis Exploiting ARC"
Malcolm Stevens (University of Nottingham), "Chemical whispering and the search for heterocyclic antitumor drugs"
Special lecturer: Koji Nakanishi (Columbia University), "Chemistry & Magic"
Short Courses: John A. Joule, University of Manchester, UK, "Azines – Reactions and Ring Synthesis;" Gordon W. Gribble, Dartmouth College, "Applications of Lithium, Magnesium, Gold, Copper, and Palladium in Heterocyclic Chemistry;" Girolamo Cirrincione, University of Palermo, Italy, "Eight Membered Rings with Two Heteroatoms: Chemistry and Ring Synthesis;" Ronald K. Castellano, University of Florida, "Noncovalent Interactions of Aromatics and Heteroaromatics in Chemical and Biological Recognition;" Viktor Zhdankin, University of Minnesota, Duluth, "Hypervalent Iodine Reagents in Organic Synthesis."
|
|
|
|
Availability of Printed Arkivoc
|
|
We have changed the arrangements for the printed edition of Arkivoc. Limited numbers of printed copies of all 88 issues covering 2000 – 2007 are still available from Amazon.com. For 2008 issues, printed copies have been produced for Commemorative issues only.
|
|
|
|
45th Congress of the Mexican Chemical Society
|
|
45th Congress of the Mexican Chemical Society
29th National Congress of Chemical Education, September 18-22, 2010
Information: www.sqm.org.mx Registration: soquimex@prodigy.net.mx
|
|
|
|
Professor Gabor Bernath
|
|
We regret to report the passing of Professor Gabor Bernath of the University of Szeged in Hungary October 1, 2009. The society of organic chemists has lost one of its outstanding characters. He was a true school founder. He was honored with an Arkivoc commemorative issue in 2003.
|
|
|
|
The 11th Eurasia Conference
|
|
The 11th Eurasia Conference on Chemical Sciences will be held at The King Hussain Conference Centre, Dead Sea, Jordan, October, 6 to 10, 2010. Information and registration http://www.euasc2s-11.ju.edu.jo/
|
|
|
|
FloHet-11 SPONSORS, EXHIBITORS, and ADVERTISERS
|
|
We are most grateful for the generous support of FloHet-11 by our sponsors, exhibitors, and advertisers – AlfaAesar, American Elements, Bristol-Myers Squibb, CEM, Elsevier, IUPAC, MolCode, Oakwood Products, Royal Society of Chemistry, SigmaAldrich, Strem, Synthonix, Taylor & Francis, The Alachua County Visitors and Convention Bureau, Thieme Chemistry, and Vertellus.
THIEME CHEMISTRY
Thieme Chemistry publishes highly evaluated information about synthetic and general chemistry for professional chemists and advanced students since 1909.
Our portfolio includes the well known journals SYNFACTS, SYNLETT and SYNTHESIS, the renowned synthetic methodology reference work Science of Synthesis, RÖMPP, the largest chemical encyclopedia published in German, and monographs. www.thieme-chemistry.com.
VERTELLUS
Vertellus is a leading provider of specialty chemicals. We are the global market leader in pyridine and picolines and the world’s number two producer of Vitamin B3. We have a broad range of complex technologies manufacturing biomaterials, CPC biocides, pyridine derivatives, DEET, Sulfones, EMA co-polymers, Alkenyl Succinic Anhydrides, reducing agents. www.vertellus.com
STREM CHEMICALS
Strem Chemicals, established in 1964, manufactures inorganics, organometallics and nanomaterials for R&D and production. Our catalog offers many catalysts and ligands for organic synthesis including patented ones only available from Strem. We also provide custom synthesis services including manufacturing of API’s in cGMP, FDA inspected kilo-lab suites. www.strem.com
OAKWOOD PRODUCTS
Oakwood Products, a manufacturer and distributor, supplies research chemicals to the pharmaceutical, agrochemical and materials research communities. Oakwood's product listing contains over 20,000 items, including many unique building blocks, reactive intermediates and heterocyclic compounds. Visit us at our new e-commerce enabled website: www.oakwoodchemical.com
ELSEVIER
Get more than 200 years of heterocyclic chemistry research, with Comprehensive Heterocyclic Chemistry I, II, and III. Complete contents for all editions are now available online. Register your interest here or look for details in your conference materials. And be sure to enter our prize giveaway for Advances in Heterocyclic Chemistry, Vol. 100.
CEM
CEM is a leading provider of microwave laboratory systems that provide fast, reproducible results in rugged, flexible platforms. Available with a variety of vessels and accessories, the compact, modular Discover® SP System offers unmatched versatility with options for automation, peptide synthesis, proteomic applications, low-temperature chemistries, gas-addition, flow chemistry, and more.
CRC Press/T&F
CRC Press/T&F is a premier publisher of technical and scientific work, reaching around the globe to collect essential reference material and the latest advances and make them available to researchers, academics, professionals, and students in a variety of accessible formats. Take a look at our special offers on CRC’s FloHet flyer.
|
|
|
|
|
|
|
|