|
|
|
MONTHLY NEWSLETTER
Please allow the graphical abstracts time to load.
|
|
|
April 30, 2008
|
Sent free to the Editorial Board of Referees and any other interested chemists who request it
To be added to or deleted from our circulation list, please use following links: Subscribe / Unsubscribe.
|
|
|
ARKIVOC is an international journal of organic chemistry completely free electronically world wide. No downloading fees to readers and no page or other charges to authors.
Arkat USA, Inc. is a non profit foundation existing to help chemists throughout the world with special emphasis on international cooperation and developing countries.
|
|
|
|
|
We are grateful to OAKWOOD CHEMICAL for their generous support of Arkivoc and the FloHet Conferences - The Arkivoc Team
|
|
|
|
Recent Arkivoc Publications
|
|
|
|
Arkivoc 2008 Part (ii):
General Papers
|
Synthesis and AT1 affinity evaluation of benzamidophenyl analogs of known AT1 receptor ligands with similar aromatic skeleton (08-2949GP)
[pp. 268-286]
Simona Rapposelli, Serena Cuboni, Maria Digiacomo, Annalina Lapucci, Maria Letizia Trincavelli, Tiziano Tuccinardi and Aldo Balsamo
Full Text: PDF (607K)
|
Solid-phase organic synthesis of vinyl-substituted 1,2,4-trizoles based on polymer-supported α-selenopropionic acid (08-3007CP)
[pp. 287-293]
Gui-Yun Fu, Lei Guo, Xue-Chun Mao, Shou-Ri Sheng, Shi-Yang Fei and Ming-Zhong Cai
Full Text: PDF (252K)
|
|
|
|
Arkivoc 2008 Part (iii):
A Commemorative Issue in Honor of Prof. Csaba Szantay
|
Synthesis of metabolites of cis and trans apovincamine derivatives (CS-2738KP)
[pp. 154-166]
András Nemes, Csaba Szántay Jr., László Czibula and István Greiner
Full Text: PDF (295K)
|
Molecular evolutionary lines in the formation of indole alkaloids derived from secologanin (CS-2760KR)
[pp. 167-181]
László F. Szabó
Full Text: PDF (382K)
|
Synthesis of deuterated dextromethorphan derivatives (CS-2753KP)
[pp. 182-193]
Hedvig Bölcskei, Marianna Mák, Ferencz Dravecz and György Domány
Full Text: PDF (275K)
|
Short synthesis of 2,3,4,5-tetrahydrocytisine (CS-2751KP)
[pp. 194-199]
Pál Scheiber and Péter Nemes
Full Text: PDF (237K)
|
|
|
|
Arkivoc 2008 Part (iv):
A Commemorative Issue in Honor of Prof. Irina P. Beletskaya
|
Imidoylation reactions at carbon (IB-2631FR)
[pp. 16-25]
Alan R. Katritzky, Niveen M. Khashab and Ekaterina Todadze
Full Text: PDF (224K)
|
|
|
|
Arkivoc 2008 Part (vi):
A Commemorative Issue in Honor of Prof. Torbjorn Norin
|
Application of (1S,4S)-2,5-diazabicyclo[2.2.1]heptane derivatives in asymmetric organocatalysis: the Biginelli reaction (TN-2981NP)
[pp. 61-72]
Rodrigo González-Olvera, Patricia Demare, Ignacio Regla and Eusebio Juaristi
Full Text: PDF (238K)
|
Enantioselective cyanation of benzaldehyde. An asymmetric polymeric catalyst in a microreactor (TN-2879NP)
[pp. 73-80]
Stina Lundgren, Henrik Ihre and Christina Moberg
Full Text: PDF (176K)
|
Biocatalytic synthesis of saphenic acid enantiomers (TN-2952NP)
[pp. 81-90]
Freddy Tjosås, Thorleif Anthonsen and Elisabeth Egholm Jacobsen
Full Text: PDF (110K)
|
Synthesis of biomimetic precursors of isovelleral analogues (TN-2978NP)
[pp. 91-99]
Daniel Röme, Erwan Arzel, Martin Johansson and Olov Sterner
Full Text: PDF (175K)
|
Furanoterpene fatty acid esters from the Australian marine sponge Coscinoderma mathewsi (TN-2974NP)
[pp. 100-106]
Ken W.L. Yong, John N.A. Hooper and Mary J. Garson
Full Text: PDF (140K) Supplementary Material: PDF (292K)
|
|
|
|
Arkivoc 2008 Part (viii):
A Commemorative Issue in Honor of Prof. Arlette Solladie-Cavallo
|
Synthesis and study of new antimicrobial benzothiazoles substituted on heterocyclic ring (AS-2925CP)
[pp. 183-192]
Ivica Sigmundová, Pavol Zahradník, Peter Magdolen and Helena Bujdáková
Full Text: PDF (256K)
|
Continuous-flow microreactor multi-step synthesis of an aminonaphthalene derivative as starting material for the preparation of novel anticancer agents (AS-2888CP)
[pp. 193-210]
Lutz F. Tietze and Deshan Liu
Full Text: PDF (283K)
|
|
|
|
Arkivoc 2008 Part (ix):
A Commemorative Issue in Honor of Prof. Oleg Kulinkovich
|
Liquid crystalline cyclohexene and cyclohexane derivatives and the compositions based upon them (OK-2859AP)
[pp. 52-61]
V.S. Bezborodov, V.I. Lapanik and G.M. Sasnouski
Full Text: PDF (137K)
|
1,3,4-Oxadiazoles from functionalized N-acylbenzotriazoles and acyl hydrazides (OK-2896AP)
[pp. 62-68]
Alan R. Katritzky, Prabhu P. Mohapatra and Longchuan Huang
Full Text: PDF (144K)
|
Synthesis of new polyconjugated molecules with biphenyl, dibenzothiophene, carbazole and phenanthrene units (OK-2856AP)
[pp. 69-93]
Vyacheslav K. Olkhovik, Dmitrii A. Vasilevskii, Andrei A. Pap, Galina V. Kalechyts, Yurii V. Matveienko, Andrei G. Baran, Nikolay A. Halinouski and Vitalii G. Petushok
Full Text: PDF (1,203K)
|
1,3- vs. 1,5-cyclization of azomethine ylides derived from 1-azabuta-1,3-dienes and difluoro- and dichlorocarbenes. Experimental and quantum-chemical study (OK-2938AP)
[pp. 94-115]
Alexander F. Khlebnikov, Mikhail S. Novikov, Stanislav A. Dolgikh and Joerg Magull
Full Text: PDF (1,203K)
|
Synthesis of allyl hydrazine: a comparative study of different methods (OK-2857AP)
[pp. 116-125]
Kaija Põhako, Kristjan Saal, Ilmar Kink, Aleksei Bredihhin and Uno Mäeorg
Full Text: PDF (129K)
|
|
|
|
Arkivoc 2008 Part (x):
A Commemorative Issue in Honor of Prof. Nouria A. Al-Awadi
|
Thermodynamic stabilities of propylenebenzenium ions in the gas phase. Substituent effect of unsymmetrical phenonium ions (NA-2980UP)
[pp. 135-150]
Mustanir, Soe Than, Shuhei Itoh and Masaaki Mishima
Full Text: PDF (304K) Supplementary Material: PDF (1,185K)
|
Kinetics and mechanism of the aminolysis of diaryl carbonates (NA-2960UP)
[pp. 151-160]
Enrique A. Castro, Claudia Soto, Bárbara Vásquez and José G. Santos
Full Text: PDF (201K)
|
Reactivity of sterically hindered diarylbenzhydryl carbocations – competing trapping by nucleophiles and elimination (NA-2965UP)
[pp. 161-182]
Anthony F. Hegarty and Valerie E. Wolfe
Full Text: PDF (4,188K)
|
|
|
|
Arkivoc 2008 Part (xi):
General Papers
|
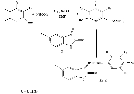
Synthesis and antimicrobial activities of 1-(5-substituted-2-oxo indolin-3-ylidene)-4-(substituted pyridin-2-yl) thiosemicarbazide (08-2819MP)
[pp. 187-194]
Vijey Aanandhi M., Shiny George and Vaidhyalingam,V.
Full Text: PDF (212K)
|
Synthesis and characterization of impurities of an anti-psychotic drug substance, Olanzapine (08-3022UP)
[pp. 195-201]
Poornachander Thatipalli, Ramesh Kumar, Chandrasekhar Bulusu, Ramesh Chakka, Pratap R. Padi, Anjaneyulu Yerra and Satyanarayana Bollikonda
Full Text: PDF (226K)
|
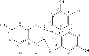
Alliuocide G, a new flavonoid with potent α-amylase inhibitory activity from Allium cepa L. (08-2818KP)
[pp. 202-209]
Gamal A. Mohamed
Full Text: PDF (426K)
|
Condensation of alkylazulenes with 2-thiophenealdehyde and the corresponding azomethines (08-3003UP)
[pp. 210-226]
Alexandru C. Razus, Liviu Birzan, Victorita Tecuceanu, Mihaela Cristea and Cristian Enache
Full Text: PDF (248K)
|
Catalytic properties of the Pd/C – triethylamine system (08-3065HP)
[pp. 227-237]
Yoann Coquerel and Jean Rodriguez
Full Text: PDF (268K)
|
Catalytic oxidative decarboxylation of arylacetic acids promoted by new Mn(III) and Fe(III) Schiff base complexes (08-2904GP)
[pp. 238-246]
Morteza Montazerozohori, Mohammad Hossein Habibi, Leila Zamani-Fradonbe and Sayed Ali Reza Musavi
Full Text: PDF (215K)
|
|
|
|
Arkivoc 2008 Part (xii):
General Papers
|
D-Leu-L-Phe-containing dipeptide inhibitors of α-chymotrypsin – the role of the N- and C-termini in enzyme affinity (08-3020OP)
[pp. 85-94]
David Pearson and Andrew D. Abell
Full Text: PDF (216K)
|
Raney Ni/KBH4: An efficient and mild system for the reduction of nitriles to amines (08-2903EP)
[pp. 95-102]
Bo Wu, Ji Zhang, Meng Yang, Yang Yue, Li-Jian Ma and Xiao-Qi Yu
Full Text: PDF (123K)
|
Copper-catalyzed cleavage of benzyl ethers with (diacetoxyiodo)- benzene and p-toluenesulfonamide (08-2944LP)
[pp. 103-108]
Ling He, Qin Wang, Guo-Chuan Zhou, Lei Guo and Xiao-Qi Yu
Full Text: PDF (92K)
|
Synthesis and antimicrobial activity of some oxazaphosphinine oxides (08-2772FP)
[pp. 109-116]
B. Siva Kumar, A. U. Ravi Sankar, G. Chandra Sekhar Reddy, M. V. Narayan Reddy, C. Devendranath Reddy and C. Suresh Reddy
Full Text: PDF (252K)
|
Efficient and eco-friendly synthesis of 2-amino-1,3-selenazoles in ionic liquid/water system at ambient conditions (08-2957EP)
[pp. 117-125]
Taterao M. Potewar, Sachin A. Ingale and Kumar V. Srinivasan
Full Text: PDF (175K)
|
Molecular iodine-catalyzed one-pot synthesis of some new Hantzsch 1,4-dihydropyridines at ambient temperature (08-2966JP)
[pp. 126-135]
J. D. Akbari, S. D. Tala, M. F. Dhaduk and H. S. Joshi
Full Text: PDF (221K) Supplementary Material: PDF (1,539K)
|
Synthesis of phenylacetaldehyde amidines and their intramolecular cyclization (08-2936UP)
[pp. 136-147]
Alessandro Contini, Emanuela Erba and Pasqualina Trimarco
Full Text: PDF (312K)
|
Synthesis of 5,6,11,12-tetrahydrodibenzo[b,f][1,5]diazocines and a demonstration of their reactivity to afford methano strap-modified Tröger’s base analogues (08-2976DP)
[pp. 148-163]
Andrew B. Mahon, Donald C. Craig and Andrew C. Try
Full Text: PDF (257K) Supplementary Material: PDF (163K)
|
Callyaerin G, a new cytotoxic cyclic peptide from the marine sponge Callyspongia aerizusa (08-2979EP)
[pp. 164-171]
Sabrin R. M. Ibrahim, RuAngelie Edrada-Ebel, Gamal A. Mohamed, Diaa T. A. Youssef, Victor Wray and Peter Proksch
Full Text: PDF (159K)
|
|
|
|
Arkivoc 2009 Part (ix):
Special Issue '5th Eurasian Conference on Heterocyclic Chemistry'
|
5th Eurasian Conference on Heterocyclic Chemistry (5th EAMHC) (EM-1435HT)
[pp. 1-12]
Full Text: PDF (729K)
|
|
|
|
Arkivoc manuscript activity / Traffic at arkat-usa.org
|
|
MS in Hand Apr 1st, 2008: 210. Received 46; Published 37; Rejected 37. In Hand End of Apr 182;
Manuscripts in Hand Jan 1st, 2008: 171; Received 238; Published 115; Rejected 112.
Access hits, April: 633,289 from 48,553 visitors;
2008 to date: 3,125,634 from 254,011 visitors.
|
|
|
|
|
|
|
Individual Issues of Arkivoc
|
The following issues were completed during April 2008:
2008 Part (ii): General Papers (Issue completed with 30 papers and 293 pages) |
|
No issues were closed during April 2008.
|
The following new issues were initiated during April 2008:
2007 Part (x): Commemorative Issue in Honor of Prof. Alain Krief on the occasion of his 65th anniversary (Facilitator: Laurent Provins; Scientific Editor: Girolamo Cirrincione) 2007 Part (xii): Commemorative Issue in Honor of Prof. Madeleine M. Joullie on the occasion of her 80th anniversary (Facilitator: Edward Semple; Scientific Editor: Kenneth Turnbull) 2008 Part (i): Special Issue 'Reviews and Accounts' 2008 Part (ii): General Papers 2008 Part (xii): General Papers 2009 Part (i): Special Issue 'Reviews and Accounts' 2009 Part (ii): General Papers 2009 Part (vi): Commemorative Issue in Honor of Prof. Henk C. van der Plas on the occasion of his 80th anniversary (Facilitator: Bert Maes; Scientific Editor: Hiriyakkanavar Ila) 2009 Part (viii): Commemorative Issue in Honor of Prof. Nicolò Vivona on the occasion of his 70th anniversary (Facilitator: Silvestre Buscemi; Scientific Editor: Girolamo Cirrincione) 2009 Part (x): General Papers |
|
|
|
|
Feedback from Flohet 9 held March 2008
|
|
One European academic wrote as follows "I want once more to state that it was a great pleasure for me to attend. I particular enjoyed interesting meetings with people from both academic and industry; overviews on interesting synthetic methods; the "family" atmosphere very helpful for
getting in touch with other delegates and making contacts. The conference organizers did an extremely good job in making everybody feel welcome"
|
|
|
|
Printed Arkivoc: Available from Amazon at $20 per issue
|
|
All issues for 2000 (6), 2001 (12), 2002 (13), 2003 (15), 2004 (14), 2005(15).
For 2006: 16 out of 17; for 2007: 14 out of 16
|
|
|
|
Arkive: Rare Compounds Available!
|
|
ARKIVE is an in-house chemical collection of more than 30,000 compounds synthesized at the Center for Heterocyclic Compounds at the University of Florida. It is one of the largest and most diverse collections of high quality organic compounds available from Academia. To order sub-sets or individual compounds contact Dr. Srinivasa R. Tala, at compounds@chem.ufl.edu.
|
|
|
|
|
|
|
|