2020-08-28
HOME
BROWSE
ARKIVOC
ABOUT
ARKIVOC
SEARCH
ARKIVOC
CONFERENCES
FLOHET/OTHERS
MONTHLY
NEWSLETTER
DONATE
Browse ARKIVOC
Submit Your Paper
Instructions:
Papers, Accounts, Reviews
Templates:
Papers
Accounts, Reviews
Commemorative Issues:
Aims and Procedures
Regional Issues:
Aims and Procedures
We thank OAKWOOD CHEMICAL for their generous support of Arkivoc and the FloHet Conferences

BROWSE ARKIVOC


ARKIVOC Volume 2007
Part (xvi): General Papers

Graphical Abstracts PDF (827K)
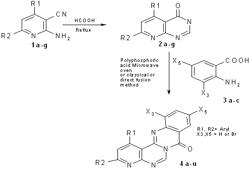
1. Efficient Niementowski synthesis of novel 1,3,10,12-tetra-substituted-8H-pyrido[2',3':4,5]pyrimido[6,1-b]quinazolin-8-ones (07-2494MP)
Sachin S. Laddha and Satayendra P. Bhatnagar
DOI: https://doi.org/10.3998/ark.5550190.0008.g01
Full Text: PDF (239K)
Export Citation: RIS
pp. 1 - 11


received May 3 2007; accepted Oct 13 2007; published Oct 26 2007;
2. Efficient synthesis of 2,4,5-triaryl substituted imidazoles under solvent free conditions at room temperature (07-2733EP)
Arshia Parveen, Md. Rafi Sk. Ahmed, Kabeer A. Shaikh, Sudhir P. Deshmukh and Rajendra P. Pawar
DOI: https://doi.org/10.3998/ark.5550190.0008.g02
Full Text: PDF (210K)
Export Citation: RIS
pp. 12 - 18


received Aug 25 2007; accepted Nov 1 2007; published Nov 5 2007;
3. Combined drug design of potential Mycobacterium tuberculosis and HIV-1 inhibitors: 3’,4’-di-substituted -4'H-spiro[isothiochromene-3,5'-isoxazol]-4(1H)-one (07-2701JP)
B. Bennani, A. Kerbal, M. Daoudi, B. Filali Baba, G. Al Houari, A. F. Jalbout, M. Mimouni, M. Benazza, G. Demailly, M. Akkurt, S. Öztürk Yıldırım and T. Ben Hadda
DOI: https://doi.org/10.3998/ark.5550190.0008.g03
Full Text: PDF (686K)
Export Citation: RIS
pp. 19 - 40


received Aug 10 2007; accepted Oct 30 2007; published Nov 5 2007;
4. Reactions of amidrazones with 1,4-quinones (07-2763UP)
Ashraf A. Aly, Mohsen A.-M. Gomaa, Ahmed M. Nour El-Din and Magda S. Fahmy
DOI: https://doi.org/10.3998/ark.5550190.0008.g04
Full Text: PDF (139K)
Export Citation: RIS
pp. 41 - 50


received Sep 10 2007; accepted Oct 30 2007; published Nov 6 2007;
5. 3-Oxidopyraziniums – [4+2] versus [3+2] cycloadditions (07-2667GP)
Zarina Joomun, Jim Raftery, Khalil Delawarally, Sabina Jhaumeer Laulloo and John A. Joule
DOI: https://doi.org/10.3998/ark.5550190.0008.g05
Full Text: PDF (338K)
Export Citation: RIS
pp. 51 - 57


received Jul 23 2007; accepted Oct 25 2007; published Nov 6 2007;
6. 2,4-Di-tert-butil-5,6-dialkylpyrimidines: easily prepared alternative to non-nucleophilic hindered bases (07-2752EP)
Antonio Herrera-Fernández, Roberto Martínez-Alvarez, Mourad Chioua,Rachid Chioua, John Almy and O. A. Loaiza
DOI: https://doi.org/10.3998/ark.5550190.0008.g06
Full Text: PDF (202K)
Export Citation: RIS
pp. 58 - 64


received Sep 4 2007; accepted Nov 1 2007; published Nov 6 2007;
7. Reaction of α,α-dibromoketones with 4-amino-5-mercapto-3-methyl-s-triazole: synthesis of some 7H-7-alkoxy-6-aryl-3-methyl-s-triazolo [3,4-b][1,3,4]thiadiazines (07-2736GP)
Om Prakash and Nisha Sharma
DOI: https://doi.org/10.3998/ark.5550190.0008.g07
Full Text: PDF (214K)
Export Citation: RIS
pp. 65 - 72


received Aug 28 2007; accepted Oct 31 2007; published Nov 7 2007;
8. Synthesis of novel fluorophenylaryl / heteroaryl ether derivatives (07-2675AP)
Biplab K. Das, Norio Shibata, Kazuyuki Harada and Takeshi Toru
DOI: https://doi.org/10.3998/ark.5550190.0008.g08
Full Text: PDF (255K)
Export Citation: RIS
pp. 73 - 82


received Jul 26 2007; accepted Oct 31 2007; published Nov 9 2007;
9. Synthesis and antibacterial activity of some new fused chromenes (07-2484AP)
Ahmed M. M. El-Saghier, Mahbouba B. Naili, Bahlul Kh. Rammash, Nabil A. Saleh and Khaled M. Kreddan
DOI: https://doi.org/10.3998/ark.5550190.0008.g09
Full Text: PDF (212K)
Export Citation: RIS
pp. 83 - 91


received Apr 25 2007; accepted Oct 31 2007; published Nov 12 2007;
10. Synthesis of some novel pyrazolo[3,4-d]pyrimidine derivatives (07-2683NP)
Ana M. F. Oliveira-Campos, Abdellatif M. Salaheldin and Lígia M. Rodrigues
DOI: https://doi.org/10.3998/ark.5550190.0008.g10
Full Text: PDF (238K)
Export Citation: RIS
pp. 92 - 100


received Jul 31 2007; accepted Nov 5 2007; published Nov 21 2007;
11. Helical chirality of pyrrolo[1,2-a][4,5]diazafluoren-5-one derivatives (07-2773CP)
Florea Dumitraşcu, Mino R. Caira, Marilena Vasilescu, Loredana Barbu, Constantin Drăghici and Dan Dumitrescu
DOI: https://doi.org/10.3998/ark.5550190.0008.g11
Full Text: PDF (194K)
Export Citation: RIS
pp. 101 - 112


received Sep 13 2007; accepted Nov 15 2007; published Nov 23 2007;
12. Synthesis of novel benzothiazole compounds with an extended conjugated system (07-2786UP)
Peddiahgari Vasu Govardhana Reddy, Yang-Wei Lin and Huan-Tsung Chang
DOI: https://doi.org/10.3998/ark.5550190.0008.g12
Full Text: PDF (265K)
Export Citation: RIS
pp. 113 - 122


received Sep 25 2007; accepted Nov 18 2007; published Nov 23 2007;
13. Acetylation of alcohols, phenols and salicylic acid by heteropoly acids in acetic anhydride: a green and eco-friendly protocol for synthesis of acetyl salicylic acid (Aspirin) (07-2470MP)
Majid M. Heravi, Farahnaz K. Behbahani and Fatemeh F. Bamoharram
DOI: https://doi.org/10.3998/ark.5550190.0008.g13
Full Text: PDF (190K)
Export Citation: RIS
pp. 123 - 131


received Apr 16 2007; accepted Nov 1 2007; published Nov 27 2007;
14. N-Substituent effects of camphor-derived β-amino alcohols on the stereoselectivity of the oxazaborolidine-catalyzed borane reduction of acetophenone (07-2787OP)
Kuangsen Sung, Gin-Ian Cheng and Yi-Hui Chen
DOI: https://doi.org/10.3998/ark.5550190.0008.g14
Full Text: PDF (169K)
Export Citation: RIS
pp. 132 - 136


received Sep 28 2007; accepted Nov 22 2007; published Dec 7 2007;
15. Microwave assisted efficient one-pot synthesis of 3,5,6-trisubstituted-1,2,4-triazines from fatty acid hydrazides under solvent-free conditions and their antimicrobial activity (07-2744UP)
Abdul Rauf, Shweta Sharma and Saloni Gangal
DOI: https://doi.org/10.3998/ark.5550190.0008.g15
Full Text: PDF (248K)
Export Citation: RIS
pp. 137 - 147


received Aug 11 2007; accepted Nov 22 2007; published Dec 7 2007;
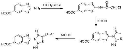
16. Synthesis and antimicrobial screening of 5-arylidene-2-imino-4-thiazolidinones (07-2726AP)
Ameya A. Chavan and Nandini R. Pai
DOI: https://doi.org/10.3998/ark.5550190.0008.g16
Full Text: PDF (204K)
Export Citation: RIS
pp. 148 - 155


received Aug 23 2007; accepted Nov 26 2007; published Dec 12 2007;
17. Tandem transformations of 1,2,4-triazol-5-ylidenes into 5-amidino-1,2,4-triazoles (07-2702KP)
Nikolai I. Korotkikh, Nataliya V. Glinyanaya, Alan H. Cowley, Jennifer A. Moore, Arthur V. Knishevitsky, Tatyana M. Pekhtereva and Oles P. Shvaika
DOI: https://doi.org/10.3998/ark.5550190.0008.g17
Full Text: PDF (354K)
Export Citation: RIS
pp. 156 - 172


received Aug 10 2007; accepted Nov 24 2007; published Dec 12 2007;
18. Convenient synthesis of 1-substituted-4-methyl-5-oxo [1,2,4]triazolo[4,3-a]quinazolines (07-2685OP)
Walid Fathalla, S. M. El Rayes and Ibrahim A. I. Ali
DOI: https://doi.org/10.3998/ark.5550190.0008.g18
Full Text: PDF (269K)
Export Citation: RIS
pp. 173 - 186


received Aug 1 2007; accepted Nov 21 2007; published Dec 12 2007;
19. Reactions of α-cyanochalcones with phenylhydrazine (07-2627AP)
Maksim A. Kolosov, Valeriy D. Orlov, Nadezhda N. Kolos, Oleg V. Shishkin and Roman I. Zubatyuk
DOI: https://doi.org/10.3998/ark.5550190.0008.g19
Full Text: PDF (395K)
Export Citation: RIS
pp. 187 - 194


received Jul 2 2007; accepted Nov 26 2007; published Dec 13 2007;
20. Stereo chain template effect on the synthesis of conjugated 1,1´-di-[p-(X-phenyl)ethenyl]ferrocenes (07-2660UP)
J. Gonzalo Rodriguez and Antonio Lafuente
DOI: https://doi.org/10.3998/ark.5550190.0008.g20
Full Text: PDF (275K)
Export Citation: RIS
pp. 195 - 208


received Jul 18 2007; accepted Nov 26 2007; published Dec 13 2007;
21. Studies on the preparation and crystal polymorphism of 2-acetamidobenzamide and related compounds (07-2587AP)
Joanne M. Kelleher, Marie T. McAuliffe, Humphrey A. Moynihan and Nicholas D. Mullins
DOI: https://doi.org/10.3998/ark.5550190.0008.g21
Full Text: PDF (390K)
Export Citation: RIS
pp. 209 - 226


received Jun 15 2007; accepted Nov 26 2007; published Dec 19 2007;
22. Photolysis of some 3-alkoxy-2-thienylchromones (07-2687AP)
Rupesh Kumar and Mohamad Yusuf
DOI: https://doi.org/10.3998/ark.5550190.0008.g22
Full Text: PDF (296K)
Export Citation: RIS
pp. 227 - 237


received Aug 4 2007; accepted Nov 26 2007; published Dec 19 2007;
23. Solvent-free preparation of primary carbamates using silica sulfuric acid as an efficient reagent (07-2693AP)
Ali Reza Modarresi-Alam, Mahmoud Nasrollahzadeh and Ferydoon Khamooshi
DOI: https://doi.org/10.3998/ark.5550190.0008.g23
Full Text: PDF (228K)
Export Citation: RIS
pp. 238 - 245


received Aug 7 2007; accepted Nov 26 2007; published Dec 19 2007;
24. Sulfated tin oxides: a suitable reagent for synthesis of 2,4-diphenyl-4,6,7,8-tetrahydrochromen-5-one (07-2536MP)
Swapnil R. Sarda, Vijay A. Puri, Ambadas B. Rode, Tulshiram N. Dalawe, Wamanrao N. Jadhav and Rajendra P. Pawar
DOI: https://doi.org/10.3998/ark.5550190.0008.g24
Full Text: PDF (193K)
Export Citation: RIS
pp. 246 - 251


received May 22 2007; accepted Nov 29 2007; published Dec 19 2007;
25. Fluoroboric acid adsorbed on silica gel catalyzed synthesis of bisindolyl alkanes under mild and solvent-free conditions (07-2412GP)
B. P. Bandgar, Abasaheb. V. Patil and V. T. Kamble
DOI: https://doi.org/10.3998/ark.5550190.0008.g25
Full Text: PDF (220K)
Export Citation: RIS
pp. 252 - 259


received Mar 5 2007; accepted Nov 23 2007; published Jan 12 2008;
26. Oxidative transformation of organic compounds using bis(bipyridine)silver(II) peroxydisulfate (07-2762AP)
Mohammad Joshaghani, Mehrnaz Bahadori, Ezzat Rafiee and M. Bagherzadeh
DOI: https://doi.org/10.3998/ark.5550190.0008.g26
Full Text: PDF (191K)
Export Citation: RIS
pp. 260 - 265


received Sep 11 2007; accepted Dec 10 2007; published Jan 12 2008;
27. A comparison of nonspecific solvent scales. Degree of agreement of microscopic polarity values obtained by different measurement methods (07-2767LP)
Pedro M. Mancini, Claudia G. Adam, Graciela G. Fortunato and Leonor R. Vottero
DOI: https://doi.org/10.3998/ark.5550190.0008.g27
Full Text: PDF (276K)
Export Citation: RIS
pp. 266 - 280


received Sep 12 2007; accepted Dec 5 2007; published Jan 12 2008;
28. Synthesis and structure of novel 4,5-dihydro-1H-pyrazoles: salicylic acid based analgesic agents (07-2534KP)
Pablo Machado, Fernanda A. Rosa, Marcelo Rossatto, Gabriela da S. Sant’Anna, Patricia D. Sauzem, Rubia M. Siqueira da Silva, Maribel A. Rubin, Juliano Ferreira, Helio G. Bonacorso, Nilo Zanatta and Marcos A. P. Martins
DOI: https://doi.org/10.3998/ark.5550190.0008.g28
Full Text: PDF (578K)
Export Citation: RIS
pp. 281 - 297


received May 21 2007; accepted Dec 11 2007; published Jan 18 2008;
29. One-pot preparation of β–amido ketones and esters in four-component condensation reaction using ferric hydrogensulfate as effective and reusable catalyst (07-2562MP)
Hamid Reza Shaterian, Hossein Yarahmadi and Majid Ghashang
DOI: https://doi.org/10.3998/ark.5550190.0008.g29
Full Text: PDF (296K)
Export Citation: RIS
pp. 298 - 313


received Jun 6 2007; accepted Dec 10 2007; published Jan 31 2008;
30. Crystalline structure of a new strontium-lasalocid complex: aqua bis-(lasalocid)-strontium(II) containing nine-coordinate Sr (07-2835EP)
M. Akkurt, S. Öztürk Yıldırım, A. Melhaoui, F-Z. Khardli, M. Mimouni, V. McKee and T. Ben Hadda
DOI: https://doi.org/10.3998/ark.5550190.0008.g30
Full Text: PDF (292K)
Export Citation: RIS
pp. 314 - 321


received Oct 21 2007; accepted Dec 19 2007; published Jan 31 2008;


CLOCKSS system has permission to ingest, preserve, and serve this Archival Unit
LOCKSS system has permission to collect, preserve, and serve this Archival Unit

Let's Encrypt Trusted Site Seal